RECCASEWA was registered on 13th Jul 2003 as a charitable Organisation as RECCASEWA Charitable Society . Click on Registration link shownbelow to see Registration details
A 13 page Memorandum of Association was prepared for the governance and operation and carrying out charitable Projects . You may click here to View the same
1_MOA_1 2_ MOA_2 3_MOA 4_MOA 5_MOA 6_MOA 7_ MOA 8 _MOA 9_ MOA 10_MOA 11_MOA 12_MOA 13_MOA
An No Objection Certificate from the Owner was obtained for the registered Address of the Charirtable Society which is attached herein under link NOC
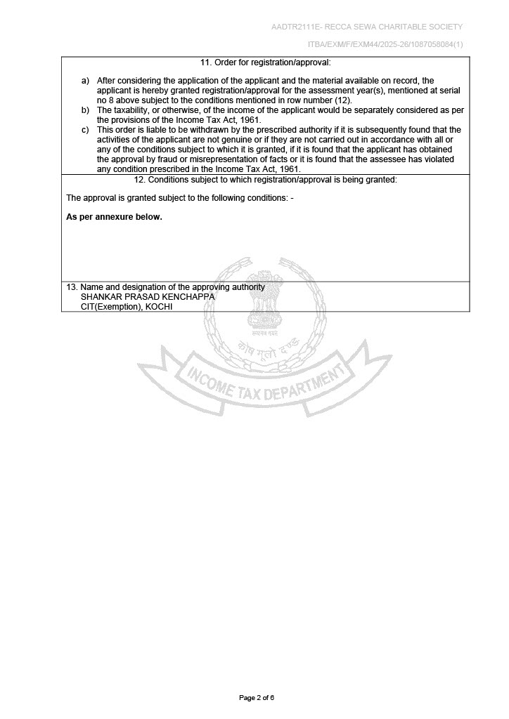
We are also happy to say that our society has got order for registration under section 12AA of IT Act followed by Approval under section 80G(5)(vi) of the lncome Tax Act, 1961on 29/07/2019 . With this we are pleased to inform you that donations made to ReccaSewa will qualify for deduction u/s.80G(5) of the lncome Tax Act, 1961 , in the hands of the donors. You may click on the link below
Glad to inform that our CSR application has been approved and our RECCA Sewa society is now registered vide CSR00062029 for undertaking CSR activities… The Approval Letter is published Here
